安博官方网页版
简介
诚信通

全国服务热线:4008-168-880

技术咨询:13714053430 (微信同号)

联系我们

联系电话:4008-168-880

深圳总部销售客服:13714053430

深圳总部传真:0755-89501950

深圳总部售后:13714053430

网 址:www.sddmhg.com

E-mail:tflaser@tflaser.com

在线QQ:4008168880

MSN:tf.laser@hotmail.com

skype:tflaser1


自聚焦光纤模式色散的几何光学处理方法

信息来源:本站 日期:2018-12-13 

0


      关于自聚焦光纤模式色散的几何光学处理,是笔者的一项教学成果。由于本文的目的是给出一个完整的教学处理方案,因此这里还是要给出文献的主要分析与结论。手动光纤模具焊接机


     公式指出,自聚焦光纤具有抛物线型的折射率分布,中心的折射率高,折射率沿着半径逐渐减少。因此进入自聚焦光纤的光线趋向于向轴线弯曲,即光线围绕着轴线摆动。由于对称性,我们只讨论子午面内光线的轨迹,在子午面z-x平面内,折射率可以表示成

手动光纤模具焊接机


    其中α2=2Δ/a2。

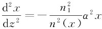
    将上式代入光线方程,并考虑傍轴光线近似,得


    将自聚焦光纤内的傍轴光线再分成近轴光线和远轴光线。所谓近轴光线就是摆动的光线离轴线不远,即α2x2?1,可以有近似则式可以近似成

手动光纤模具焊接机


    显然,公式是一个典型的简谐振动方程,其通解为


    其中C和φ是积分常数,分别代表光线摆动的幅度和相位。式(11)表明,近轴光线是周期性围绕光轴正弦摆动的,α是摆动的空间频率。可以看出所有近轴光线具有相同的空间周期2π/α,即近轴光线是周期性聚焦的,如图5所示。根据费马原理,从轴线A点发出的所有近轴光线都将聚焦于B点,A点和B点之间的近轴光线是等光程的,不会引起时间差。换句话说,只考虑近轴光线,无法计算出模式色散,模式色散来源于远轴光线,这就是笔者将自聚焦光纤的傍轴光线分成近轴光线和远轴光线的原因。手动光纤模具焊接机


    图5 自聚焦光纤中的近轴光线与远轴光线

可以预言,由于自聚焦光纤光线的这种聚焦特性,模式色散只来源于远轴光线,相较于阶跃折射率多模光纤光线根本没有聚焦特性,自聚焦光纤的模式色散显然比起阶跃折射率多模光纤要小很多,这在随后的讨论中将被证实。手动光纤模具焊接机

在讨论远轴光线时,利用泰勒展开,保留到αx的二阶项,公式(9)变成

手动光纤模具焊接机


    下面我们用微扰方法讨论式(12)。考虑远轴光线仍具有正弦摆动特性,但是空间频率有所不同


    将式(13)代入式(12),得到

手动光纤模具焊接机


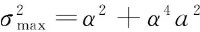
    其中远轴光线的空间周期变成2π/σ,不是常数。因此在计及远轴光线后,各光线不再可以周期性聚焦,存在着时间差。从式(14)可见,远轴光线的空间频率与近轴光线有差别,随着摆动幅度C的不同而不同。最远的远轴光线幅度为a,则远轴光线的最大空间频率满足手动光纤模具焊接机

    或者

手动光纤模具焊接机


    可见,由于αa?1,远轴光线的空间频率和近轴光线的空间频率还是十分接近的与α2a2相差α4a4,这是一个非常小的量。当忽略α4a4时,远轴光线还原为近轴光线,模式色散将无法计算。或者说在计算光程差(或者时延差)时近似展开至少要保留到α4a4项。

令最大模式的对应光线轨迹函数为手动光纤模具焊接机

    x=asinσmaxz


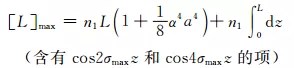
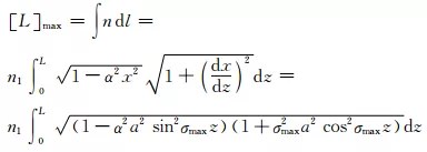
    计算最大模式传输L距离后的光程

手动光纤模具焊接机


    将上式被积函数做泰勒展开,保留到α4a4项,则式(18)变为


    式(19)的后一积分项在积分跨越2π/σmax点时为零,则


    由光程差与时间差的关系,自聚焦光纤的模式色散为

手动光纤模具焊接机


    这个结果与WKBJ近似法计算的结果完全一致[1,2]。将n1=1.500和n2=1.489代入式(21),得Δτmax=0.25ns/km,比阶跃折射率多模光纤小两个数量级。


    总结一下第1节的主要结论:(1)近轴光线近似与费马原理预计的等光程性等价,不能用近轴近似结果来计算自聚焦光纤的模式色散; (2)自聚焦光纤的模式色散来源于远轴光线,利用远轴近似可以得出自聚焦光纤模式色散的正确结果; (3)由于聚焦特性的不同,自聚焦光纤的模式色散比阶跃折射率多模光纤小两个数量级。手动光纤模具焊接机


版权所有 安博官方网页版 粤ICP备12059204号   

公网安备

粤公网安备 44030902000822号

网站地图   |    在线留言